
Effects of physical properties of supercritical water on coarse graining of particle cluster(Open Access)
李晓宇,王慧博,李燚,金辉*
Keywords: Supercritical water; Variations in physical properties; Fluidized bed; Coarse grain method; Particle drag
DOI: 10.1016/j.partic.2023.02.004
超临界水的复杂物理性质变化对超临界水流化床尤其是反应器尺度的流化床研究一直是难点。近日,西安交通大学金辉教授团队在PARTICUOLOGY上发表研究论文,从颗粒解析尺度对超临界水中颗粒团曳力特性进行研究,探讨超临界水的物理性质变化对颗粒团粗粒化的影响。
本文已OA,收录于Emerging Investigators虚拟专刊。欢迎感兴趣的读者扫描下方二维码进入ScienceDirect官网阅读、下载!

研究背景
超临界水流化床在清洁能源利用、煤炭高效转化等方面有着重要的作用。但超临界水(SCW)的复杂物理性质变化对超临界水流化床的研究而言一直是难点,尤其是反应器尺度的研究,如图1所示的超临界水的复杂物性变化。粗粒化CFD-DEM是对流化床反应器尺度进行快速高效模拟的一种方法,其通过对多个实际粒子粗粒化成一个直径更大的固体颗粒的方式降低流化床模拟的计算量,如图1所示的颗粒粗粒化过程。在这类方法中,作为固相的颗粒与连续相的流体之间的耦合是通过颗粒曳力模型来实现的。然而,超临界水物性变化对颗粒的传热受力有着显著的影响,尤其是颗粒间隙处的位置。所以,进一步研究颗粒团曳力特性对超临界水中颗粒团的粗粒化过程有着重要的意义。

图1. 颗粒粗粒化过程及超临界水物性变化
研究方法
本文从颗粒解析尺度进行超临界水中颗粒团曳力特性研究。采用开源计算流体力学软件OpenFOAM耦合超临界水IAPWS-IF97物性变化模型,在考虑颗粒与超临界水之间传热的基础上,对图2所示的颗粒团模型进行直接数值模拟。由于颗粒团的模型具有对称性,为了减少计算量,流体域选取为整体的1/4。本文设置了三种体积分数的颗粒团模型,对应的粗粒化直径是2.7D、3D和5D,D是实际颗粒的直径大小。其中,主要研究的对象是粗粒化直径为2.7D的颗粒团,以粗粒化直径为3D和5D的颗粒团的结果作为对比。模拟研究的是层流流动,Re范围在25–200,Re的计算以进口流体物性和实际颗粒直径为特征量进行计算。温度边界是关于超临界水数值模拟工作的重要条件。因为超临界水物性随着焓值的变化变得更有规律和平缓,所以本文以焓值作为温度表示,流体温度为2700 kJ/kg,颗粒温度为1700–2500 kJ/kg。与物性不变的对比研究是关于超临界水的研究工作中的重要手段,本文以进口物性保持不变作为定物性流动(CPF),将超临界水(SCW)的结果与定物性流动的进行对比分析。

图2. 颗粒团的整体物理模型和计算选取模型
研究内容
论文从颗粒团的子颗粒曳力分布特性、平均曳力特性两方面进行分析研究。模拟结果显示对于每个子颗粒的曳力系数分布规律而言,物性变化对其并无特殊影响。但是,物性对曳力系数的具体数值大小有着显著的影响。颗粒团上游颗粒曳力系数数值在不同颗粒温度下差异较大,但是差异比较固定,且温度越高曳力系数越大。下游颗粒的曳力系数数值差异小,但是差异有着重要的区别。为了深入分析,曳力系数比是一个重要的分析对象,如图3(a)(b)(c)所示超临界水中的曳力系数CdSCW与定物性流动中的曳力系数CdCPF之比的分布特性。作为主要研究对象的粗粒化直径为2.7D的颗粒团,其在颗粒温度为1700 kJ/kg的条件下,曳力系数比分布最为特殊,尤其是最下游的颗粒3。其根本原因在于这种温度条件下,超临界水物性变化是本文设置的所有温度条件中最复杂的,以密度为例,如图3(d)所示密度分布对比。颗粒温度对应的流体粘度是本文中最高的,当颗粒团间隙的流体流过最下游的颗粒3时,流体因为高粘度,速度很低,所以颗粒尾流对颗粒3的影响大于间隙来流的影响,如图4所示的流线及颗粒3表面速度梯度分布。随着颗粒温度的升高,对应流体粘度降低,所以来流的影响逐渐增大,曳力系数比增加。

图3. 不同颗粒温度下的颗粒曳力系数比和物性分布:(a)粗粒化直径为2.7D;(b)粗粒化直径为3D;(c)粗粒化直径为5D;(d)密度分布对比

图4. 颗粒团周围流线对比及颗粒3表面速度梯度对比
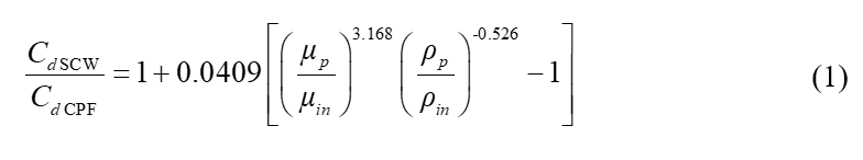
此外,本文发现颗粒团的平均曳力系数变化规律与单颗粒的是十分相似的,但是由于物性的影响,颗粒温度越高,对应的平均曳力系数也越高,如图5(a)所示。颗粒尾流是颗粒绕流的一个重要特征。本文发现粗粒化直径为2.7D时,在本文设置的最大Re下,颗粒团后依然能形成较为统一的尾流,如图5(b)。这初步说明了超临界水中忽略颗粒团内部物性变化影响对颗粒团进行粗粒化的可行性。同样的,为了深入分析,平均曳力系数比也是一个非常重要的研究对象。本文发现,三种粗粒化直径颗粒的平均曳力系数比的变化规律与单颗粒的变化规律一致,且范围也比较相似,如图6所示。这进一步说明了忽略颗粒团内部物性变化是可行的。最后,本文根据物性变化影响规律的一致性和范围相似性,建立了物性影响模型,如式(1)。


图5.(a)粗粒化直径2.7D的平均曳力系数随Re的变化;(b)Re为200时的颗粒团周围流场分布

图6. 平均曳力系数比的变化规律:(a)2.7D;(b)3D;(c)5D;(d)单颗粒
结论
将超临界水中颗粒团的子颗粒曳力分布特性进行对比研究发现,分布规律相近,但是物性引起的曳力系数数值大小差异在下游颗粒上体现的较为特殊,这可能引起超临界水流化床反应器与定物性流化床反应器的差异;颗粒团的平均曳力特性研究表明超临界水中存在忽略颗粒团内部物性变化,将颗粒团进行粗粒化的可行性。
通讯作者

金辉,西安交通大学教授,博导,研究工作围绕推动煤炭超临界水气化制氢发电多联产技术产业化开展。发表第一/通讯SCI论文百余篇,总被引6200余次,h因子43,其中15篇入选ESI高被引论文,3篇入选全球热点论文(hot papers)入选2020年、2021年世界排名前2%科学家名单(能源科学)、2022年全球顶尖前10万科学家。撰写专著1本,申请及授权国家发明专利50余项,授权软件著作权6项。主持国家自然科学基金委优秀青年基金项目、面上基金项目、青年基金项目,主持科技重大专项子课题2项、重点研发计划1项、省部级项目2项等。获2014年陕西省科学技术奖,入选2017年高等学校十大科技进展,获吴仲华优秀青年学者奖(2022)、中国颗粒学会青年颗粒学奖(2022)。
供稿:原文作者
编辑:《颗粒学报》编辑部
文章信息
Li, X., Wang, H., Li, Y., & Jin, H. (2023). Effects of physical properties of supercritical water on coarse graining of particle cluster. Particuology, 82, 166-178. https://doi.org/10.1016/j.partic.2023.02.004.