
From shape to behavior: a synthesis of non-spherical particle dynamics in air
吕立鹏,赵彬*
Keywords: Identification of shaped aerosol; Process safety and human health; Dynamics of non-spherical particles; Shape-induced particle behavior
DOI: 10.1016/j.partic.2024.11.005
空气中的悬浮颗粒物绝大多数呈非球形,而且颗粒物在空气中表现的动力学行为与其形状密切相关。因此,本文综述了空气中非球形颗粒动力学研究的最新进展。首先,文章定义并定量描述了空气中不同形状颗粒物的形貌特征,总结了涵盖流场中非球形颗粒物的力和力矩的动力学特征,进一步分析了形状对颗粒物微观和宏观动力学行为的影响。并通过探讨单颗粒的自由下落、自由悬浮运动,多颗粒的取向分布和迁移,以及颗粒物的沉积与分布等场景下与颗粒物形状密切关联的特征行为,阐明了颗粒物形状与其微观、宏观动力学行为之间的关联关系。

相关研究成果发表于PARTICUOLOGY(Volume 96),欢迎感兴趣的读者扫描下方二维码或者点击文末“阅读原文”进入ScienceDirect官网阅读、下载!

研究背景
非球形颗粒在科学研究和工程应用领域都有广泛的应用,当颗粒物形状偏离球形时,会引起复杂的动力学特征,进而导致复杂的微观和宏观动力学行为。然而,目前仍缺乏对非球形颗粒物的全面认识,对空气中非球形颗粒物的形貌特征及其动力学行为的理解均滞后于球形颗粒物。因此,作者检索了7万余篇文献,并筛选出300余篇与本文研究目的密切相关的论文,通过深入分析,整理了关于空气中非球形颗粒物形貌及其动力学特征方面的综述。
要点精读
1. 非球形颗粒物形貌分析
对颗粒物进行形貌分析是掌握非球形颗粒物动力学特性的基础。
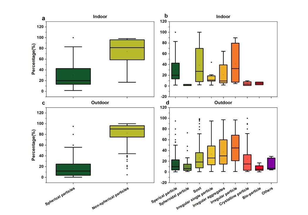
本文基于颗粒物典型形貌特征和来源,将颗粒物形貌分为7类,分别为球形颗粒物、椭球形颗粒物、煤烟型颗粒物、不规则单颗粒物、不规则聚合颗粒物、立方体形颗粒物以及生物颗粒物,如图1所示。由收集到的单颗粒形貌统计数据得到,颗粒物中非球形颗粒占比达80%以上,见图2。而且,颗粒的形貌及分布特点依赖于颗粒物产生源,例如,汽车尾气排放导致道路附近煤烟型颗粒物占比高,生物质燃烧导致球形颗粒物含量增加,滨海地区由于形成含盐气溶胶会导致立方体形颗粒物占比较高,等等。另外,颗粒物形貌特征还可能会受其化学组成的影响。
目前仍缺乏颗粒物形状因子与其动力学特征的直接对应关系。应用过程中,通常根据实际场景采用组合形状因子的形式去描述颗粒物的动力学特征。为此,作者总结了文献中表示非球形粒子形状的33种形状因子,并将其划分为大尺度特征和小尺度特征两大类。大尺度特征用于表征颗粒长度、宽度、高度、粒径等与流场中颗粒物形状相关的动力学特性,比如形阻;小尺度特征用于表征粗糙度、凹凸程度、锐利程度等与流场中颗粒物表面性质相关的动力学特性,比如摩阻。并通过组合大尺度特征和小尺度特征来描述非球形颗粒物的形状及动力学特征,如,结合体积等效球粒径和球形度,Corey形状因子和圆度等。

图1. 颗粒物的形貌分类

图2. 基于形状的室内外颗粒物组成
2. 非球形颗粒物的运动以及相关的力和力矩
非球形颗粒的复杂动力学行为是由颗粒的运动特性决定的,而运动特性又与颗粒所受的力及力矩密切相关。
文章总结了影响非球形颗粒物运动的几种常见力和转矩,包括曳力、升力、布朗力、外场力和水力学转矩等。从统计的2000多个颗粒物曳力系数实验点(图3)以及布朗扩散系数(图4)数据显示,与球形颗粒物相比,非球形颗粒物的曳力、布朗力呈现出明显的不同。此外,由于颗粒形状变化带来的复杂性,对非球形颗粒物的升力及力矩等方面的研究,也仅限于简单流动条件下的椭球形颗粒物。
目前,除椭球等简单形状颗粒物可通过小雷诺数流动等理论分析方法获得颗粒受力及力矩等信息外,大多数非球形的颗粒物需采用实验以及数值模拟等研究手段才能获得相关参数。

图3. 颗粒物的曳力系数
(紫色线条为球形颗粒物的曳力系数随雷诺数的变化曲线)

图4. 非球形颗粒物的布朗扩散系数
3. 颗粒物形状对微观动力学特征的影响
文章总结了非球形颗粒物以及其在流体中的微观运动模式,包括单颗粒的自由落体、自由悬浮运动,以及多颗粒在流场中的定向旋转等;还讨论了研究颗粒-流体间相互作用的常用方法,包括点颗粒法、完全分辨法、实验方法等。研究结果发现,颗粒形状偏离球形时,会导致复杂的微观动力学行为。例如,椭球形颗粒的自由下落与阿基米德数、伽利略数等相关,呈现出震荡和不稳定的下落路径;椭球颗粒在流动流体中的动力学行为又呈现出显著的取向定向特性,而且不同流动区(如边界层、主流区)的椭球长轴定向方向不同,这表明颗粒动力学行为不仅与形状有关,还与颗粒的流动特性有关。管道流动中,长椭球颗粒的长轴方向与流动方向一致,而扁椭球颗粒的长轴垂直于壁面方向,由此也进一步表明,不同的颗粒运动微观动力学机制最终会影响宏观动力学行为。
4. 颗粒物形状对宏观动力学行为的影响
本文以颗粒物在物体表面、管道内以及人体呼吸系统内的沉积为例,讨论了形状对颗粒物取向分布、沉积等宏观动力学特征的影响。由图5给出的颗粒物在物体表面沉积的实验数据可知,颗粒的沉积速度、沉积率与颗粒物的形状密切相关。而且由图6呈现的颗粒物在呼吸道内沉积情况的数据来看,颗粒物的形状不仅影响颗粒在呼吸道内沉积的部位,而且实验数据分散性较强,难以用简单的方法预测。另外,由研究结果显示,在相同空气动力学直径下,非球形与球形颗粒物在支气管沉积的差异达到180%,由此表明,考虑颗粒形状的影响时,空气动力学直径在应用过程中有一定的局限性。而且,由于非球形颗粒物呈流向定向特性,更容易进到肺部深处,带来更大的健康危害。由此也进一步说明,对颗粒进行受力分析以及对其微观动力学解析,有助于我们去理解颗粒尤其是非球形颗粒物的宏观行为。

图5. 非球形颗粒物在表面沉积的实验数据

图6. 非球形颗粒物在呼吸道沉积的实验数据
亮点
1. 发展了基于形状特性及来源的颗粒物形貌分类方法,并将大气气溶胶颗粒物划分为7类;经统计得到,悬浮气溶胶中非球形颗粒占比超过80%;同时,强调了描述非球形颗粒物形状时结合大尺度形状因子和小尺度形状因子的必要性。
2. 通过描述包括曳力、布朗力、升力、外场力以及平动、转动力矩等非球形颗粒物的受力和力矩,阐明了颗粒-流体间相互作用机制及动力学特征与颗粒物形状的密切相关性。
3. 建立了非球形颗粒物宏观行为与微观特征之间的关联关系,有助于深入理解由颗粒物形状引起的宏观现象背后的微观机制。
主要结论与展望
非球形颗粒物的形貌特征对其动力学行为有巨大影响,本文通过解析颗粒物形状与其微观、宏观动力学之间的联系,阐明了与颗粒物形状密切关联的特征行为。文章还进一步强调开发适用于非球形颗粒物动力学分析的通用形状描述方法的重要性,同时也需扩宽非球形颗粒物动力学的研究范围,以探索更复杂的流场以及在其它过程中的应用。
作者简介

吕立鹏,清华大学建筑学院建筑技术科学系博士生。研究方向为建筑室内空气品质、建筑通风、室内颗粒物动力学。以第一作者在Particuology, Journal of Hazardous Materials, Environment International,Aerosol Science and Technology,Building and Environment,Building Simulation等期刊发表论文8篇。

赵彬,清华大学建筑学院长聘教授,Fellow of ISIAQ Academy。研究方向为室内空气污染动力学、人员暴露、健康效应评估以及建筑通风和空气洁净技术。迄今以第一作者或通讯作者发表期刊论文130余篇,在Google Scholar被引用1万800余次,H-index为54。入选教育部新世纪优秀人才支持计划,连续多年入选Elsevier中国高被引学者、斯坦福大学全球前2%顶尖科学家生涯和年度榜单。获首届“Scopus寻找未来科学之星”活动之“青年科学之星”奖、5个国际期刊最佳论文奖、清华大学学术新人奖、良师益友奖、教育部自然科学二等奖(排名第1)等奖励。
供稿:原文作者
编辑、排版:《颗粒学报》编辑部
文章信息
Lv, L., & Zhao, B. (2025). From shape to behavior: A synthesis of non-spherical particle dynamics in air. Particuology, 96, 218-243. https://doi.org/10.1016/j.partic.2024.11.005.