
Knowledge-informed reduced-order modeling for erosion prediction in pipe bends
潘明,穆丽静,刘岑凡*,陈锡忠*
Keywords: CFD‒DEM; Reduced-order modeling; Erosion; POD‒Kriging
DOI: 10.1016/j.partic.2025.10.010
颗粒冲蚀在化工生产、油气输送与燃料转换等领域普遍存在,而夹带颗粒的流动会持续削弱关键部件,导致壁厚减薄并失效,且伴随潜在环境风险。尽管耦合计算流体力学与离散元方法(CFD–DEM)能够精确解析冲蚀机理,但其高计算代价难以支撑多工况的快速预测与运维需求。为此,本文提出基于知识引导的机器学习代理模型,以POD(Proper orthogonal decomposition)方法提取冲蚀场主导模态,并在Kriging趋势项中嵌入经数值验证的“冲蚀比—工况参数”相关式,从而提升外推稳健性与可解释性。结果表明,在多参数工况下,该模型在准确重现空间冲蚀/磨损分布的同时实现2000倍以上的计算加速;与常规机器学习模型相比,其总体误差最高降低76%,弯头高风险区局部误差低于4%。该方法为工业管道弯头的冲蚀磨损快速评估与设计优化提供了物理一致、计算高效的新途径。

相关研究成果发表于PARTICUOLOGY(Volume 107),欢迎感兴趣的读者扫描下方二维码或者点击文末“阅读原文”进入ScienceDirect官网阅读、下载!

亮点
1. 本文基于CFD–DEM数值模拟,定量表征管道弯头内固体颗粒冲蚀强度与空间分布,并识别高风险区域的演化规律
2. 提出一种POD–Kriging降阶代理模型,以POD提取冲蚀场主导模态,结合Kriging重建,实现全场冲蚀的高效预测;并在Kriging趋势项中嵌入经数值验证的机理相关式,显著提升预测精度与外推稳健性
3. 经参数优化与模型校准,形成适用于管道系统的快速、准确的冲蚀磨损预测器,实现对CFD–DEM的千倍级加速,可支撑工程设计优化
研究背景
固体颗粒冲蚀在化工装备、油气长输管网以及燃料转换等系统中广泛存在,而这些系统内又存在复杂的多相流—颗粒—壁面间相互作用,其中夹带磨蚀颗粒流动会持续削弱关键部件,可能导致壁厚减薄、穿孔甚至停产风险,或因潜在失稳和泄漏带来环境与安全隐患。通常采用数值方法来解析其作用机制,其中,CFD–DEM方法能精确解析颗粒轨迹、撞击以及壁面响应等,同时为兼顾规模效应,粗粒化DEM亦被用于在保持计算精度的同时降低成本。然而,即便如此,计算成本仍在一定程度上限制着现有数值方法在多工况参数扫描与工程优化中的常态化应用。为突破算力瓶颈,近年来涌现出多种机器学习方案,可快速从工况参数映射到冲蚀响应,但普遍存在外推性不足、物理约束缺失以及可解释性弱等问题,难以满足实际工业管道复杂多变工况对可靠性预测的严格要求。因此,亟需开发兼具物理一致性与计算高效性的降阶建模(ROM)方法,使其在最大限度保持高保真模拟精度与空间分布特征的同时显著降低计算成本,为工程设计与优化提供可落地的预测工具。

图1. (a)弯头外侧冲蚀场分布,(b)颗粒运动轨迹及其速度变化
要点精读
1. 基于CFD–DEM的机理关联式构建
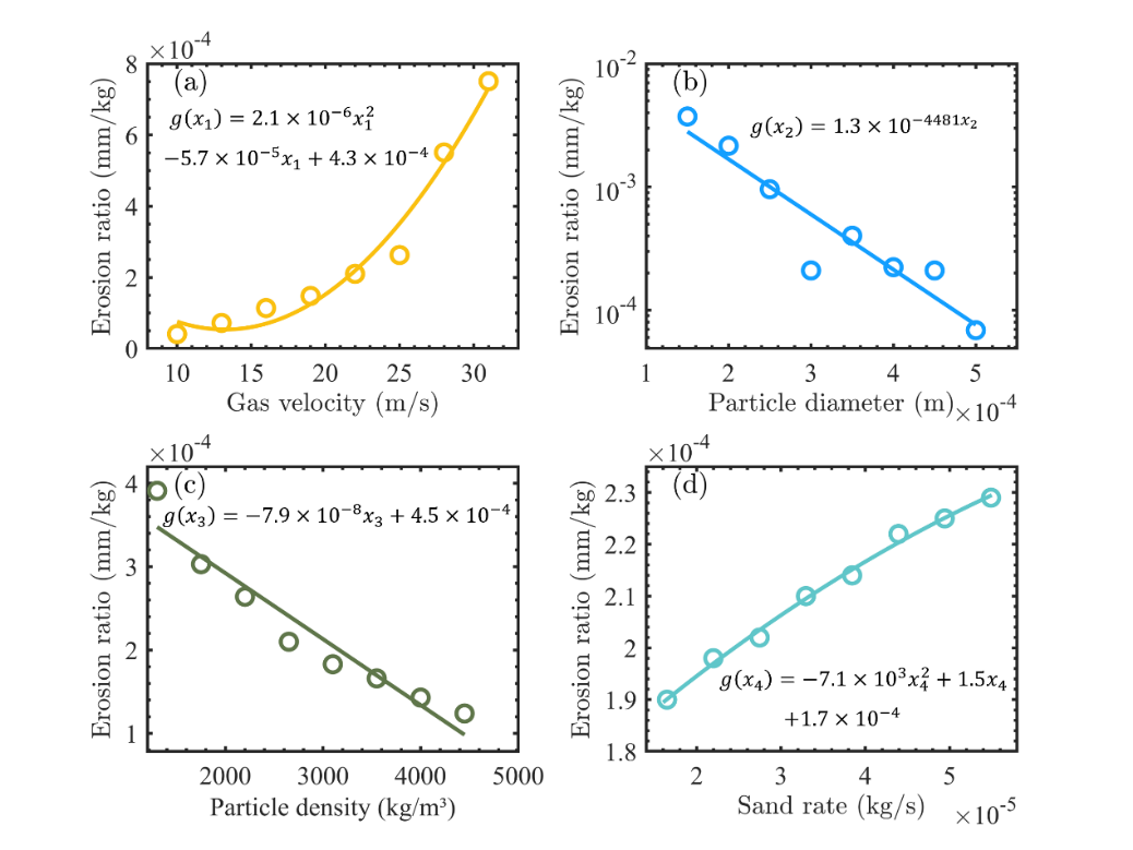
针对工业管道弯头外侧易形成冲蚀损伤的工程痛点,本文首先在经验证的CFD–DEM框架下对单弯管开展多工况参数扫描,系统量化气体速度、颗粒粒径与密度、含砂率对最大冲蚀率的影响。结果显示,弯头外侧约40°–60°区域为高风险区域,冲蚀峰值随速度呈近幂律上升,随粒径和颗粒密度单调下降,并随含砂率的增加逐渐升高。据此,以速度、粒径、密度、含砂率等为自变量,构建了后续建模的显式机理关联式,并采用物理一致的函数族拟合与单调性约束确定参数,为“知识引导”提供可解释的先验结构。

图2. 弯头外侧最大冲蚀率与工况参数的关系
(a)气体速度,(b)颗粒直径,(c)颗粒密度,(d)含砂率
2. 知识引导的POD–Kriging降阶框架
在上述机理关联基础上,构建了知识引导的POD–Kriging降阶代理模型。首先将高保真冲蚀场组成“快照矩阵”,利用SVD(Singular value decomposition)方法提取POD主导模态并保留主要能量,以实现物理场的低维表示;随后以Kriging对模态系数随工况变量的映射进行回归,其中,趋势项由CFD–DEM提炼的机理关联式构造为先验均值,余项由高斯过程核(Matérn 5/2)捕捉非线性残差。该设计兼顾三个关键点:① 物理一致性——趋势项承载可解释规律;② 外推稳健性——先验抑制数据稀疏区的漂移;③ 计算高效性——推理仅需求解小规模线性系统并线性合成POD模态。由此得到的代理模型可在秒级完成一次全场冲蚀重构。

图3. 管道弯头冲蚀场的主导POD模态
3. 模型验证与性能评估
以CFD–DEM结果为基准,分别在单参数与多参数耦合场景下验证代理模型。对于全场误差与冲蚀热点误差来说,与常规POD方法相比,知识引导的POD–Kriging代理方案的总体误差最高降低约76%,关键区域的局部误差可控至4%以下;效率方面,仅需计算少量模态系数即可重构冲蚀场,单例预测仅秒级即可完成,对比CFD–DEM,实现了2000倍以上的加速,足以支撑大规模参数扫描、方案比选与准实时预测。

图4. 弯管冲蚀场分布对比
(a–c)CFD–DEM 模拟结果;(d–f)知识引导的 POD–Kriging 模型预测

图5. 单参数与耦合参数测试算例的误差对比
(a, b) 常规POD–Kriging;(c, d) 知识引导型POD–Kriging模型
主要结论与展望
本文提出一种知识引导的POD–Kriging建模思路,利用POD方法提取主导模态,并将机理关联式写入Kriging趋势项,实现了物理一致、可解释且具外推能力的降阶预测。在单参数与耦合参数算例中,MAE、RMSE显著降低、R2提升;与常规方法相比,知识引导的POD–Kriging模型其冲蚀热点误差低于4%,总体误差最高降低76%;与传统CFD–DEM方法相比,实现了高于2000倍的加速。
本文建立的框架便于工程集成,可将流速、压降、含砂率等在线传感数据映射至模型输入,实现冲蚀场的实时预测,以支撑在线监测、预测性维护与数字孪生应用等。未来将面向瞬态/非等温与复杂几何及更高维参数空间进行扩展验证。
通讯作者简介

潘明,上海交通大学化学化工学院博士后。主要研究方向为湍流–颗粒两相流相互作用机理、颗粒流传热传质以及基于CFD‒DEM的管道冲蚀磨损模拟与预测,已发表相关论文10余篇。

刘岑凡,中国特种设备检测研究院结构研究所高级工程师,数值仿真实验室负责人。长期从事特种设备安全与节能领域相关的多相流反应和燃烧等方面的研究工作。主持国家自然科学基金项目、国家重点研发计划课题以及市场监管总局和各类横纵向课题10余项,发表学术论文20余篇。

陈锡忠,上海交通大学长聘教轨副教授,国家高层次青年人才。研究主要聚焦于化工及制药过程的数字孪生及科学智能计算,近3年在AI赋能化工装备设计与工艺开发领域发表SCI论文30余篇。先后主持国家自然科学基金、上海市教委人工智能跃升计划专项及华为“AI+化工”产学协同育人等多项项目。
供稿:原文作者
排版:《颗粒学报》编辑部
文章信息
Pan, M., Mu, L., Liu, C., & Chen, X. (2025). Knowledge-informed reduced-order modeling for erosion prediction in pipe bends. Particuology. 107, 204-215. https://doi.org/10.1016/j.partic.2025.10.010