
Quantitative evaluation of particle distribution status of lithium-ion battery (LIB) slurry under effects of rotational speeds
王志龙,陆建行,张佳锬,李飞翔,孙博,赵桐*,Irfan Bahiuddin
Keywords: Quantitative evaluation; Lithium-ion battery slurry; Particle dispersion degree; SEM
DOI: 10.1016/j.partic.2025.10.018
目前用于表征系统中颗粒分布的量化模型主要是针对稀薄液固两相流,对稠密液固两相流中微米和纳米级颗粒分散度的定量评估仍存在局限性。本文以锂离子电池浆料作为稠密液固两相流的典型实例,开发了一种基于图像识别技术与多参数融合且针对微米级和纳米级颗粒分散度的定量评估方法。该方法采用扫描电子显微镜采集电池浆料的微观图像,结合图像分析技术,并融合离散颗粒占比η、最小平均距离S̄min以及均匀性偏差β三个关键参数,建立了一种表征微观颗粒分散状态的定量评估方法。采用电化学阻抗谱(EIS)对不同转速下锂离子电池浆料的电化学特性进行分析,进一步验证了该定量方法的正确性。

相关研究成果发表于PARTICUOLOGY(Volume 107),欢迎感兴趣的读者扫描下方二维码或者点击文末“阅读原文”进入ScienceDirect官网阅读、下载!

亮点
1. 提出一种基于图像识别与多参数融合的颗粒分散度定量评价方法
2. 开发了混合注意力模块(MAM)增强的Mask R-CNN算法,解决了浆料SEM图像中颗粒精准识别的技术难题
3. 通过电化学阻抗谱交叉验证了定量评价方法的正确性与实用性
研究背景
随着高固含量、强粘度、非线性流变特性的稠密液固两相体系在锂离子电池(LIB)浆料制造中的广泛应用,现有的基于透明和线性物性体系而建立的颗粒分散评估方法不能被直接套用,然而,颗粒分散与空间均匀性控制又是电池制浆工艺中的关键问题。因此,探索不透明、高粘浆料中微米级活性颗粒与纳米级导电剂的分布及其协同行为凸显出其重要性。
本研究以锂离子电池浆料为此类复杂体系的典型代表,通过系统研究不同工艺参数下LiCoO2-CB颗粒的分散状态,构建可复用的图像数据驱动的定量评估方法与电化学交叉验证框架,为稠密非线性浆料的工艺优化以及电极一致性的提升提供理论基础。
要点精读
1. 方法构建
本研究基于扫描电镜图像以及图像识别技术,创新性地定义了锂离子电池浆料中微米级LiCoO2和纳米级炭黑(CB)颗粒的分散度指标,并融合离散颗粒占比η、最小平均距离S̄min和均匀性偏差β三个关键参数,构建了一个多维度、更精确的颗粒分散状态评价体系,从而能够实现对不透明高粘度浆料中微米级和纳米级颗粒分散状态的精细化定量描述。


图1. 特定粒子k与其余粒子间距离的计算处理
SEM图像中LiCoO2颗粒被遮挡以及CB颗粒微小难辨,导致颗粒识别与分离存在困难。本研究将混合注意力模块(MAM)引入Mask R-CNN实例分割算法中,显著提升了对微米级LiCoO2颗粒的识别精度,并成功获取其像素坐标。另外,通过图像减影技术与Otsu-Niblack联合算法,使CB颗粒被成功分离且识别,完成对纳米级颗粒坐标的准确提取。由此,实现了对浆料中不同颗粒的精准识别与坐标定位。

图2. 混合注意力模块(MAM)的架构

图3. 基于混合注意力模块(MAM)增强的Mask R-CNN改进分割网络架构
3. 方法验证
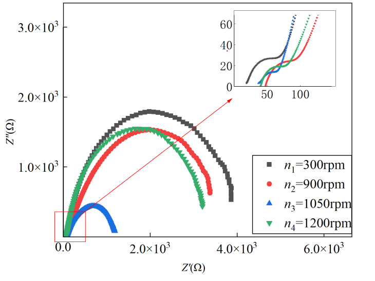
利用电化学阻抗谱(EIS)分析方法进行了验证。研究发现,在1050 rpm转速下,浆料具有最佳的分散状态。且在最佳转速条件下,由图像分析得到的高分散度与EIS表征得到的低界面电阻和高双电层电容结果高度吻合,验证了本文所构建定量方法的正确性,同时也为LIB浆料的制备及其工艺优化提供了明确的定量指导。

图4. 四种不同转速下LIB浆料样品的奈奎斯特曲线
主要结论与展望
本研究构建了一套基于SEM图像分析技术的锂离子电池浆料颗粒分散度定量评价体系。通过引入MAM增强的Mask R-CNN算法,实现了对微米级LiCoO2颗粒与纳米级CB颗粒的精准识别与坐标提取,并创新性地融合了离散颗粒占比η、最小平均距离S̄min及均匀性偏差β三个关键参数,实现了对高粘度不透明浆料中微米与纳米级颗粒分散状态的精细化定量表征。并利用电化学阻抗谱获得了进一步验证。本文提出的方法对于定量评价稠密液固两相流中的多尺度颗粒分散程度具有重要的理论意义和广泛的应用潜力。
通讯作者简介

赵桐,工学博士,教授/博士生导师,西安理工大学机械与精密仪器工程学院副院长。主要从事复杂机械过程可视化测量技术研发与应用、高速润滑与密封技术、多相流多场耦合模拟及可穿戴设备研发等方面的工作,服务于石油化工、新能源和气体污染末端治理等行业设备和工艺的开发。发表学术期刊论文65篇,SCI收录53篇。主持国家自然科学基金、国家高端外国专家计划等国家级项目4项,陕西省重点研发计划、陕西省创新能力支撑计划创新人才项目等省部级科研项目8项。先后获陕西省青年科技新星、亚洲颗粒大会杰出青年学者、国际核工程大会优秀论文等学术奖励。
供稿:原文作者
排版:《颗粒学报》编辑部
文章信息
Wang, Z., Lu, J., Zhang, J., Li, F., Sun, B., Zhao, T., & Bahiuddin, I. (2025). Quantitative evaluation of particle distribution status of lithium-ion battery (LIB) slurry under effects of rotational speeds. Particuology, 107, 265-273. https://doi.org/10.1016/j.partic.2025.10.018